1. 问题简介
如何判断一个单向链表是否包含有环?
这是一个关于单向链表非常经典的问题,在lintcode上也有相关的题目102. 带环链表
这样的比较小但是又足够经典的小算法,通常是在企业面试的时候会经常容易被拿出来考候选人的。接下来,我们就分析下这个问题的解体思路。
2. 问题分析
要判断一个链表是不是有环,那么我们首先得弄明白有环链表的特性是什么。然后根据有环链表的特性与无环链表的差异,来确定问题的解决方案。
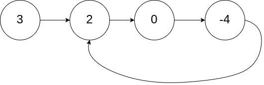
有环的链表长这个样子:

我们可以分析一下,这样的链表有什么特性呢?
a. 它有头结点,但是没有尾结点;
b. 它的内部,包含有一个环状链表;
这个环状链表是一个有意思的链表,它是把一个链表的尾结点,指向了它的头结点。这个结构很像是柏拉图提出的“衔尾蛇“。

抛却它的哲学意味来说,但从数据结构层面来说,环状链表也是一个在特定场景中非常有用的数据结构,比如用来解决约瑟夫问题。
那么,关于环状链表,它有哪些特性呢?
a. 它无头无尾,任意结点都是平等的;
b. 若从任意结点便利它,那么遍历永远不会停止(听起来好像是废话,但是其实不是);
关于单向链表,它的操作其实很有限,无非就是遍历、添加、移除这样的操作,但是这个环状的链接就很让人头疼,因为它遍历起来是停不下来的,所以得从其他角度考虑。
比如说,搞两个遍历同时进行,而且给两个遍历以不同的速度运行,那么根据环的特性,这两个不同速度的遍历指针,肯定会有相交的时候。
想象一下我们的田径运动的400米环形操场,在比赛开始之后,第一名的速度足够快,追上最后一名,这种第一名又一次遇到了最后一名的情形,我们俗称“套圈儿”。
没错,我们也可以把这个“套圈儿”的思路用在环状链表的遍历上,那么我们可以总结出环状链表的第三个特性:
c. 环状链表中,两个指针以不同速度遍历的话,会出现“套圈儿”的现象。
而普通的单向链表是绝对没有这样的特性的。
于是,我们就找到了一个关键的特性,用于区分普通单向链表和有环链表。
3. 解法步骤
有了上一章节的分析,我们有了一个重要的结论,即可以使用有环链表中“环”的“套圈儿”现象来区分有环链表和无环链表。那么,接下来就是解体的思路了。
- 我们声明两个指针,一个叫快指针”fast”,另一个叫慢指针”slow”;
- 接下来随便选一个节点A,从A开始遍历,fast 节点一次移动两个位置,slow一次移动一个位置;
- 如果fast 或者 slow中有任意一个遍历到了结尾,那么证明这个链表没有环;
- 如果fast 和 slow 在开始之后又一次相遇了(slow被套圈儿了),那么说明这个链表有环;
这样,这个问题就能解决了,下面给出参考代码(Java 版)。
|
|